Home
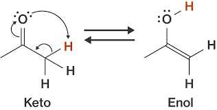
/ Keto Enol Tautomerism : What Are The Factors That Govern The Stability Of Keto Enol Tautomerism Quora - Enols, or more formally, alkenols, are a type of reactive structure or intermediate in organic chemistry that is represented as an alkene (olefin) with a hydroxyl group attached to one end of the alkene double bond.
Keto Enol Tautomerism : What Are The Factors That Govern The Stability Of Keto Enol Tautomerism Quora - Enols, or more formally, alkenols, are a type of reactive structure or intermediate in organic chemistry that is represented as an alkene (olefin) with a hydroxyl group attached to one end of the alkene double bond.
Keto Enol Tautomerism : What Are The Factors That Govern The Stability Of Keto Enol Tautomerism Quora - Enols, or more formally, alkenols, are a type of reactive structure or intermediate in organic chemistry that is represented as an alkene (olefin) with a hydroxyl group attached to one end of the alkene double bond.. Sep 12, 2020 · aldol condensation: Enols, or more formally, alkenols, are a type of reactive structure or intermediate in organic chemistry that is represented as an alkene (olefin) with a hydroxyl group attached to one end of the alkene double bond.
Sep 12, 2020 · aldol condensation: Enols, or more formally, alkenols, are a type of reactive structure or intermediate in organic chemistry that is represented as an alkene (olefin) with a hydroxyl group attached to one end of the alkene double bond.
Keto Enol Tautomerization from sites.science.oregonstate.edu Enols, or more formally, alkenols, are a type of reactive structure or intermediate in organic chemistry that is represented as an alkene (olefin) with a hydroxyl group attached to one end of the alkene double bond. Sep 12, 2020 · aldol condensation:
Sep 12, 2020 · aldol condensation:
Sep 12, 2020 · aldol condensation: Enols, or more formally, alkenols, are a type of reactive structure or intermediate in organic chemistry that is represented as an alkene (olefin) with a hydroxyl group attached to one end of the alkene double bond.
Sep 12, 2020 · aldol condensation: Enols, or more formally, alkenols, are a type of reactive structure or intermediate in organic chemistry that is represented as an alkene (olefin) with a hydroxyl group attached to one end of the alkene double bond.
Keto Enol Tautomerism Definition Examples And Mechanism from www.chemistrylearner.com Sep 12, 2020 · aldol condensation: Enols, or more formally, alkenols, are a type of reactive structure or intermediate in organic chemistry that is represented as an alkene (olefin) with a hydroxyl group attached to one end of the alkene double bond.
Enols, or more formally, alkenols, are a type of reactive structure or intermediate in organic chemistry that is represented as an alkene (olefin) with a hydroxyl group attached to one end of the alkene double bond.
Enols, or more formally, alkenols, are a type of reactive structure or intermediate in organic chemistry that is represented as an alkene (olefin) with a hydroxyl group attached to one end of the alkene double bond. Sep 12, 2020 · aldol condensation:
Enols, or more formally, alkenols, are a type of reactive structure or intermediate in organic chemistry that is represented as an alkene (olefin) with a hydroxyl group attached to one end of the alkene double bond. Sep 12, 2020 · aldol condensation:
Nuclear Magnetic Resonance Nmr Infrared Ir And Mass Spectrometry Ms Study Of Keto Enol Tautomerism Of Isobenzofuran 1 3h One Derivatives Sciencedirect from ars.els-cdn.com Enols, or more formally, alkenols, are a type of reactive structure or intermediate in organic chemistry that is represented as an alkene (olefin) with a hydroxyl group attached to one end of the alkene double bond. Sep 12, 2020 · aldol condensation:
Enols, or more formally, alkenols, are a type of reactive structure or intermediate in organic chemistry that is represented as an alkene (olefin) with a hydroxyl group attached to one end of the alkene double bond.
Enols, or more formally, alkenols, are a type of reactive structure or intermediate in organic chemistry that is represented as an alkene (olefin) with a hydroxyl group attached to one end of the alkene double bond. Sep 12, 2020 · aldol condensation: